Mian Systems LLC
Directional Derivatives
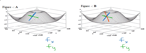
Previously, in derivatives (df/dx), we had calculated derivatives with respect to “x” and have been able to find
tangent lines along a curve, either in fx or fy direction. It means to find a tangent line in the x direction on the graph
with y constant, or we find the tangent line in the y direction and keeping x constant. See figure A.
Source: Unknown
In figure B, what if we want to find the derivative in any other direction other than x and y? Let’s say, we want to find
that tangent line instead?—shown in red, figure B. We would then need directional derivatives to find that tangent line.
In directional derivatives, there is a function f(x,y), with a point P(a,b) and some vector . From point “P” we want to
travel in the direction of vector by one unit and find the rate of change. Basically, we have specified the direction in
which we want to take the derivative as u = ai + bj. Since u must be a unit vector, that is, to take a unit step, one step in
that direction, (u is the direction and not rate of change); we convert vector to unit vector (u). If given a vector, we
make that vector a unit vector “u” by using the fact:

Note: If direction is given by a unit vector of the form, , then you do not have to convert it.
Gradient vector of f, (is same as derivative) is also denoted by notation ∇f, is defined by ∇f(x,y)= fx(x,y)i + fy(x,y)j.
And this equation is the same as when we say, finding derivative in the direction of “u”; we can write it as, Du f(x,y) = fx
(x,y)a +fy(x,y)b or Du f(x,y) = fx(x,y)i +fy(x,y)j. These are partial derivatives df/dx and df/dy.
∇f (Gradient of function f) is the same as derivative or slope or rate of change. The gradient vector combines the
partial rate of changes or partial derivatives with respect to components of u and evaluated at point P. What his means
in a hiker example?
Source: http://www.youtube.com/watch?v=ktUKog_4LEQ
The remainder of process is described in the steps below
Steps: Directional derivatives
1. Find magnitude of vector = this works when you have x & y vector given.
a) If radian is given, then you need to find ‘x’ and ‘y’ from θ.
2. Find u (unit vector) or the components of u.
3. df/dx & df/dy (partial derivative with respect to (W.R.T.) x and y) and evaluate it at unit vector
4. Du f(x,y) = fx(x,y)a +fy(x,y)b substitute Unit vector and evaluate it at point ‘P’
The derivative sub u or (Du) is the directional derivative, tells us that as one unit is traveled in the direction of u— what
the rate of change is. In vector language the rate of change or slope or derivative is also called a gradient or grad.
Du f(x,y) can be written as ∇f(x,y) OR Du f(x,y) = fx(x,y)i +fy(x,y)j
Step 1: Find x & y
π/4 is half way in the first quadrant, where the x & y points are
Hence, if you have a given θ, then you can find x and y; where sin θ =y and cos θ =x
Step 2. Find unit vector
Step 3: df/dx & df/dy
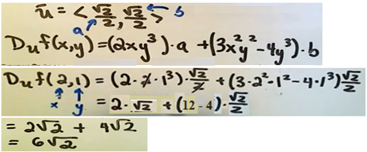
df/dx = 2xy3 df/dy = x23y2-4y3
Step 4: Du f(x,y)a +f(x,y)b ; ‘a’ and ‘b’ are the unit vector points
This means that as you travel in the direction of by one unit, the gradient or rate of change or the slope
will change by